Державне комунальне підприємство «Луцьктепло» за 32 мільйони гривень проведе реконструкцію котельні на вулиці Ранковій. Роботи виконає львівська фірма «Вельт Капітал», яка була єдиним учасником тендеру. Аналізуючи ціни на будівельні матеріали, Центр журналістських розслідувань «Сила правди» виявив позиції, де їхня вартість завищена у два-три рази.
Інформація про тендер розміщена у системі публічних закупівель «Prozzoro».
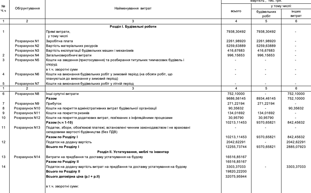
«Луцьктепло» повідомило в документах, що готове реконструювати котельню на вулиці Ранковій за 32,6 мільйона гривень. Договір комунпідприємство підписало 20 лютого з єдиним учасником тендеру, і, відповідно, переможцем – львівською компанією «Вельт Капітал». Компанія спустила ціну у своїй пропозиції на 320 тисяч гривень, але в ході підписання договору ціна полегшала ще на 200 тисяч, тож реконструкція котельні обійдеться у 32 мільйони 75 тисяч гривень.
«Проект реконструкції розроблено у зв’язку з необхідністю заміни застарілого газопальникового обладнання, автоматики управління, необхідністю експлуатації котлів з більш високим ККД та без обслуговуючого персоналу, оптимізації існуючої системи теплопостачання, більш ефективного i економічного використання енергоресурсів за рахунок заміни існуючих котлів та установлення сучасного високотехнологічного допомiжного обладнання», – йдеться в документах КП.
Загалом реконструкцію планують розпочати вже у березні, спершу демонтують застаріле обладнання, а згодом вмонтують металеві та залізобетонні конструкції, встановлять обладнання, сигналізацію загазованості, водопровід. Завершити ремонт і пусконалагоджувальні роботи планують до кінця року.
Оплачувати реконструкцію «Луцьктепло» буде лише з власних коштів. Притім, згідно з бюджетом Луцької міськради на 2025-ий, на програму підтримки КП «Луцьктепло» заплановано спрямувати 83,5 мільйона із загального фонду і 92 мільйони гривень із спецфонду.
Згідно з планом фінансування, у жовтні 2025 року підряднику заплатять 12 мільйонів 75 тисяч 959 гривень, а у листопаді та грудні – ще по 10 мільйонів гривень. Розрахунки, згідно з договором, планують провести до 31 грудня цього року після підписання акту приймання виконаних будівельних робіт.
У документах сказано, що підрядник обрахував свої прямі витрати на рівні майже 8 мільйонів гривень. На зарплату піде майже 2,3 мільйона, на будівельні матеріали – майже 5,3 мільйона гривень, а на придбання та доставку необдхідного устаткування – 16,5 мільйона гривень.

Згідно з кошторисом, сталевий кульовий фланцевий кран (ст/п DN125, PN16, Tmax=180°C) підрядник вказує за ціною в понад 32,6 тисячі гривень за одиницю, загалом 8 штук обійдеться в 261 тисячу гривень із ПДВ.

Кран з такими ж характеристиками, з редуктором, але іншого виробника в одному з інтернет магазинів коштує від 11,4 до 18,5 тисяч гривень, це підтвердили й у коментарі. Ба більше – при купівлі декількох позицій можуть діяти й знижки. Тобто навіть якщо порахувати за середньою ціною 16 тисяч, то 8 штук вартують 128 тисяч гривень із ПДВ – це удвічі менше, аніж в кошторисі підрядника.

Фарбу водоемульсійну підприємство купуватиме за відпускною ціною майже 282 гривні за кілограм. Загалом куплять понад 117 кілограмів вартістю 33 тисячі гривень, тоді ж як у будівельному гіпермаркеті «Епіцентр» фарба водоемульсійна фірми «Sniezka» вартує у два рази менше за більшу вагу – 148 гривень за 1,4 кілограм, відповідно для оптових закупівель ціна ще менша. Загалом ціна коливається від 49 гривень за кілограм до 194. Тобто навіть при орієнтовній різниці в ціні понад 100 гривень на кілограмі фарби, можна було б зекономити як мінімум понад 10 тисяч гривень.


Аналізуючи ціни далі, знаходимо вартість у 989,5 тисячі гривень за шафу управління котельним обладнанням виробництва Німеччини. Ціни в інтернеті на таку техніку українського виробника у межах сотні тисяч гривень.


Юристка компанії «Вельт Капітал» Марʼяна Мандзюк зазначає, що шафу німецького виробника обирали виключно з огляду на кошторисну документацію. З її слів, усі позиції підбирають з огляду на технічне завдання.
«Якщо в технічному завданні чітко вказано хто виробник, то значить, під час виготовлення проєктно-кошторисної документації, проєктанти вирішили, що до позиції даної шафи, чи будь-якої іншої, підходить найкраще саме цей виробник. Відхиляти це ми не маємо права, але, якщо наприклад виникнуть проблеми із закупівлею, доставкою, чи щось інше, то ми можемо звернутися із зверненням до замовника, а він до проєктної організації для внесення якихось змін. Але це може бути в подальшому, коли будуть виконуватися роботи, якщо будуть якісь нюанси», – розповіла юристка компанії «Вельт Капітал».
Крім того, дві силові шафи підрядник купуватиме за майже 128 тисяч гривень кожну, а в інтернет-магазинах шафи такого типу вартують у два з половиною рази дешевше – близько 50 тисяч гривень. Таким чином можна було б зекономити ще близько 150 тисяч.


Отже, з огляду навіть на кілька проаналізованих позицій з додатку про вартість матеріальних ресурсів, які буде використовувати «Вельт Капітал», помітно, що ціни суттєво завищені. Щоправда, у договорі зазначено, що «його вартість може змiнюватись і пiсля пiдписання договору в бiк зменшення за взаємною згодою».
До слова, журналісти Центру журналістських розслідувань «Сила правди» зверталися за коментарями до компанії-підрядника, надсилали для аналізу виявлені позиції із невідповідностями, але відповідь у домовлений час не надійшла. Якщо такі розʼяснення нададуть, то матеріал буде доповнено.
Також варто зазначити, що у відділі закупівель підприємства «Луцьктепло» відповідати на питання щодо завищених цін у тендері відмовились, посилаючись на те, що це не у їх компетенції, і перенаправили журналістів до приймальні, де відповіді також не надали і не зʼєднали з відповідальним за вищевказані невідповідності.
Товариство з обмеженою відповідальністю «Вельт Капітал» створене у 2016 році на Львівщині. Основний вид діяльності – будівництво житлових і нежитлових будівель. Власниця та керівниця підприємства – Тетяна Павленко.
«Вельт Капітал» в останні роки є постійним отримувачем великих державних замовлень, в тому числі і на Волині. За даними системи публічних закупівель «Prozorro», загалом з 2016 року компанія отримала 437 замовлень на понад 5,4 мільярда гривень. Найбільше переможних тендерів у комппанії на Львівщині – 340, тоді ж як на Волині вони підписали 90 договорів із держустановами загальною вартістю у понад 2 мільярди гривень.
Перший контракт на Волині здобула наприкінці 2017 року. Тоді Шацька селищна рада замовила у неї розширення каналізаційної мережі за 6,68 мільйона гривень. З того часу розпорядники публічних коштів з Волині віддали «Вельт Капіталу» ще десятки підрядів.
Здебільшого це були роботи з розбудови каналізаційної мережі Шацького приозер’я, а згодом з’явилися й замовлення на ремонти доріг і вулиць. Так, лише у 2023 році фірма «Вельт Капітал» отримала від державного підприємства «Служба місцевих автомобільних доріг у Волинській області» 232 мільйони гривень за ремонт та утримання доріг. У 2024 році компанія отримала й масштабні підряди на будівництво фортифікаційних споруд взводно-опорних пунктів на українсько-білоруському кордоні у Волинській області. Точна сума контрактів невідома, проте на початку 2024 року фірмі надійшло 115,7 мільйона гривень на закупівлю будівельних матеріалів для цього. Також у 2023-2024 роках ТОВ «Вельт Капітал» отримало підрядів на 63,6 мільйона гривень на ремонт чи будівництво лісових доріг у межах відповідальності Поліського лісового офісу Державного підприємства «Ліси України».
Нагадаємо, на початку 2025 року ТОВ «Вельт Капітал» отримало підряд на 128 мільйонів гривень щодо реконструкції Будинку офіцерів у Луцьку під «Музей науки». У цьому тендері журналісти також мали зауваження щодо цін.








